EP 68: How Stripe uses Similarity Clustering to detect fraud
Stripe uses similarity clustering with XGBoost to detect fraud, linking accounts by shared traits to block fraud rings in real-time and reduce false positives.

Never Miss Another Warm Lead With Our AI BDR

Never miss a hot lead again. Our AI BDR Ava tracks intent signals across the web—triggering perfectly timed outreach when prospects are ready to buy.
She operates within the Artisan platform, which consolidates every tool you need for outbound:
300M+ High-Quality B2B Prospects, including E-Commerce and Local Business Leads
Automated Lead Enrichment With 10+ Data Sources
Full Email Deliverability Management
Multi-Channel Outreach Across Email & LinkedIn
Human-Level Personalization
Free up your sales team to focus on high-value interactions and closing deals, while Ava handles the time-consuming tasks.
Book a demo to see how Ava can 10x your outbound.
Since you have read the heading, you might be wondering what Clustering is. If yes, then watch out!
Stripe is one of the biggest payment processing platforms in the world that handles billions of transactions yearly. With so many transactions happening every second, fraud is inevitable. Attackers use stolen cards, create fake accounts, or exploit loopholes to carry out fraudulent transactions. To fight this, Stripe uses a technique called similarity clustering to detect and stop fraud before it causes serious damage.
As of today, Stripe serves over 4.5 million websites, with 1.5 million active users. North America dominates Stripe’s market share, holding 70.2%, followed by Europe at 15.8%, Asia-Pacific at 7.9%, and the rest of the world at 6.1%.
Let's discover how Stripe identifies fraud and tackle with it so that it must not hamper their systems in this blog today.
Stripe’s main product is the Stripe Payments API, which developers can use to easily embed payment functionality into their applications.
Types of Fraud in the Payments Ecosystem
Fraud in online payments typically falls into two broad categories:
Transaction Fraud
This occurs when a fraudster uses stolen card details to make unauthorized purchases. The goal is usually to buy high-value goods and resell them for cash. Stripe’s fraud detection system, Radar, helps identify and block these fraudulent transactions in real-time.
Merchant Fraud
This is more sophisticated. Here, fraudsters create fake businesses to process fraudulent transactions. They might:
Using stolen card numbers: Fraudsters create an account, process payments using stolen card details, and try to cash out before being detected.
Scam businesses: A fraudster may set up a fake business selling high-demand products at unbelievably low prices. Customers place orders but never receive their products. By the time chargebacks start rolling in, the fraudster has already withdrawn the money and disappeared.
Since Stripe is responsible for processing these transactions, it bears financial losses if fraudsters manage to withdraw funds before they are caught.
To tackle this, Stripe focuses on detecting fraud at the account level, ensuring that once a fraudulent account is detected, it cannot simply be replaced with a new one.
How Stripe identifies Fraud
When a fraudster tries to create a new Stripe account (after getting caught on his previous account), he’ll probably reuse some information and attributes from his previous account.
They often reuse certain attributes when creating multiple fake accounts. Some details are easy to fake, while others require significant effort to change:
Easier to Fake | Harder to Fake |
|---|---|
Name | Bank accounts |
Date of birth | Device fingerprints |
Email (slight variations) | IP address |
Business name | Behavioral patterns |
By identifying shared attributes, Stripe can automatically detect fraud rings before they cause significant damage.
Why Similarity Clustering works for Fraud Detection?
Stripe detects linked accounts by assigning a similarity score based on shared attributes.
Critical details like bank accounts weigh more than minor ones like birthdates. Initially, Stripe relied on a heuristic based system where the weightings were hand-constructed (based on guess and check), but this approach struggled to keep up with evolving fraud tactics.
To make their systems more accurate, they switched to a machine learning model that continuously learns from new data. Now, they can automatically retrain the model over time as they obtain more data and improve in accuracy, adapt to new fraud trends, recognize emerging fraud patterns, and stay ahead of sophisticated adversaries.
Choosing a Clustering approach
Machine learning tasks can be divided into two categories: supervised learning and unsupervised learning.
Supervised learning is when a model learns from labeled examples (e.g., transactions marked as fraud or legitimate).
Unsupervised learning identifies hidden patterns in data without labeled examples.
Traditionally, clustering is an unsupervised learning technique. However, Stripe uses a supervised approach because they already have a large dataset of fraudulent and legitimate accounts based on real-world chargebacks and fraud reports.
Stripe applies similarity learning, where the goal is to train a model that determines how similar two accounts are. From many years, Stripe’s risk underwriting teams have manually identified and compiled many examples of existing clusters of fraudulent accounts through their investigations of fraud rings, and they thought, they can use these reference clusters as training data to learn their similarity function.

They used known clusters of accounts to train their predictive models.
By sampling edges from these groups, they obtained a dataset consisting of pairs of accounts along with a label for each pair indicating whether or not the two accounts belong to the same cluster. They use intra-cluster edges as positive training examples and inter-cluster edges as negative training examples, where an edge denotes a pair of accounts.
How Stripe Detects Fraud using Similarity Clustering
Stripe's fraud detection system called Radar, applies machine learning techniques to spot patterns in fraudulent transactions. It follows these key steps:
Collecting Transaction Data
Every time a transaction occurs, Stripe collects various data points, including:
Payment details (card type, issuing bank, etc.)
Customer information (email, IP address, device used)
Merchant details (who is receiving the payment)
Behavioral patterns (how fast the user enters card details, past purchase history, etc.)
These attributes are then transformed into features that help identify fraudulent accounts.
Creating Clusters of Similar Transactions
Instead of analyzing accounts in isolation, Stripe compares accounts in pairs and assigns a similarity score based on shared attributes.
For example, consider two Stripe accounts:
Attribute | Account A | Account B |
|---|---|---|
Bank Account | 1234-5678 | 1234-5678 |
IP Address | 192.168.1.100 | 192.168.1.100 |
Since both accounts share multiple attributes, they are flagged as potentially linked fraudulent accounts.
Feature Engineering (Converting Data into Model Inputs)
Stripe converts pairs of accounts into features that can be used for prediction. Some important features include:
Categorical attributes (e.g., shared email domains)
Overlapping card numbers (used across multiple accounts)
Text similarity between account details
Since Stripe has a vast amount of data, they can create detailed features to improve fraud detection.
Using Gradient-Boosted Decision Trees (GBDTs)
Due to the huge range of features, Stripe decided to go with gradient-boosted decision trees (GBDTs) specifically XGBoost, to enhance its fraud detection system. GBDTs provide a powerful balance between predictive accuracy, ease of training, and robustness against data variations. XGBoost was chosen beacuse of its efficiency and well-developed infrastructure that would enable Stripe to quickly train and deploy models at scale.
Stripe chose GBDTs (XGBoost) instead of deep learning because
Better for tabular data: Fraud detection heavily relies on structured data like transactions, IPs, and device fingerprints.
Easier to interpret: Analysts can understand which features contribute most to fraud detection.
Faster training and inference: XGBoost is highly optimized and scalable for large datasets.
Scoring Similarity and Detecting Fraud Rings
Now that the model is trained, it can be used to predict fraudulent activity. Since the model works by comparing Stripe accounts in pairs and there are millions of accounts, so checking every possible pair would be computationally impossible.
Instead, they first generate a candidate set of edges to be scored. To do this, Stripe first selects recently created accounts and links them with other accounts that share key attributes (like bank accounts, IP addresses, or email patterns). This step acts as a filter, reducing the number of comparisons needed while still catching suspicious connections.
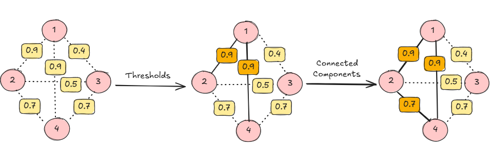
Once the candidate edges are scored, next, the model assigns a similarity score to each selected pair. Stripe then filters edges by selecting those with a similarity score above some threshold. If two accounts share a lot of attributes, they get a high similarity score.
These connected pairs form clusters (groups of linked accounts). They then compute the connected components on the resulting graph. The final output is a set of high-fidelity account clusters which engineers at Stripe can analyze, process, or manually inspect together as a unit. Fraud analysts can manually review clusters that contain known fraudulent accounts to investigate linked accounts.

Each edge is weighted by a similarity score; we identify clusters by finding connected components in the resulting graph.
This is an iterative process; as each individual cluster grows, they can quickly identify increasing similarity as fake accounts in a fraudster’s operation are created. And the more fraud rings we detect and shutdown at Stripe, the more accurate their clustering model becomes at identifying new clusters in the future.
Why Similarity Clustering is effective for Fraud Detection
1. Improves Fraud Detection by identifying Hidden Patterns
Fraudsters frequently reuse certain resources (e.g., stolen credit cards, email addresses with minor variations, or similar device fingerprints). By grouping accounts that share these attributes, Stripe can: - Detect fraud rings before they cause serious damage - Identify new fraud patterns that would be missed in traditional models - Stop repeat offenders by linking their past fraudulent accounts to new ones
2. Real-Time Fraud Prevention
Stripe processes payments in real-time, meaning fraud detection must be instantaneous. Clustering enables Stripe to, Flag fraudulent transactions within milliseconds, Block accounts linked to known fraudsters before they complete transactions and prevent high-risk payments without disrupting legitimate users.
3. Reduces False Positives
A major challenge in fraud detection is wrongly flagging legitimate users. Traditional fraud detection models can mistakenly block real customers, leading to a poor user experience.
Clustering helps by: - Providing context: If an account is linked to known fraudulent accounts, it's more likely to be fraudulent - Avoiding harsh blanket rules: Instead of blocking all transactions from a region, Stripe can detect clusters of actual fraudsters - Refining risk assessments, ensuring that genuine users aren’t unfairly flagged
4. Increases the Cost of Fraud for Attackers
Fraudsters rely on cheap and scalable attacks. If a fraudulent account is blocked, they quickly create a new one.
Clustering makes this process more expensive by: - Blocking entire fraud rings at once - Invalidating stolen resources, such as reused bank accounts or compromised credentials - Forcing fraudsters to invest more in new devices, accounts, and identities—making fraud less profitable
5. Helps Risk Analysts Work More Efficiently
When accounts require manual review, Stripe’s risk analysts need to determine whether they belong to legitimate businesses or fraudsters.
Clustering helps by: - Grouping suspicious accounts together, making patterns easier to spot - Allowing analysts to review multiple accounts at once instead of investigating them individually - Reducing human errors by ensuring consistent decision-making across similar cases
The Official blog from BBC: Similarity clustering to catch fraud rings
By now, you must have had a clear idea of, How Stripe uses Similarity Clustering to catch fraud rings? In a nutshell, Stripe uses similarity clustering with XGBoost to detect fraud by grouping accounts with shared attributes like IP addresses, bank details, and behavioral patterns. This machine-learning approach helps identify fraud rings in real-time, disrupts fraudsters’ tactics, and reduces false positives.
Congratulations! You've just advanced another step in your tech journey. Keep progressing!
Rohit Lakhotia
Rohit Lakhotia is a software engineer and writer covering engineering, career growth, and the tech industry.